林散之草书《自作诗<论书一首>》过眼录
草圣林散之
林散之(1898-1989),名霖,又名以霖,字散之,号三痴、散耳、江上老人。“诗书画三绝”,尤其草书,被称为“草圣”。林散之祖籍安徽省和州(今安徽省和县),生于江苏省江宁府江浦县(今南京市浦口区)。曾任江浦县副县长、南京市政协副主席、全国政协委员;江苏省国画院一级美术师、南京书画院院长、中国书法家协会江苏分会名誉主席等。林散之8岁学艺,未有师承。16岁跟范培开学书,18岁从张栗庵,32岁师黄宾虹,37岁只身万里行。书法先楷后行,由唐入魏,由魏入汉,转而入唐,宋元明清,皆所摹习。历经“三变”之后,60岁开始专攻草书,草书以王羲之为宗,以怀素为体,以王铎为友,以董其昌、祝允明为宾。林散之用长锋羊毫笔、宿墨、生宣纸,并将绘画中的墨法运用于书法,创立“林体”。“林体”的特点是“瘦劲飘逸”,基本特征是“瘦劲圆涩,枯湿浓淡,偏正相依,飘逸天成”。1972年,中日书法交流选拔,林散之一举成名。“林体”草书反映了近300年来中国草书艺术的最高成就,捍卫了中国书法在国际上的中心地位。书法大家高二适见到林散之的字,拍案惊呼:“这才叫字!”中国书协主席启功看到林散之的草书,脱帽三鞠躬。书法巨匠赵朴初说:“林老书法,举世无双。”日本现代碑学派巨擘青山杉雨称赞:“草圣遗法在此翁。”林散之草书代表作有《中日友谊诗》《许瑶诗<论怀素草书>》《自作诗<论书一首>》《李白<草书歌行>》等。《中日友谊诗》被誉为“林散之第一草书”。
林散之草书《自作诗<论书一首>》
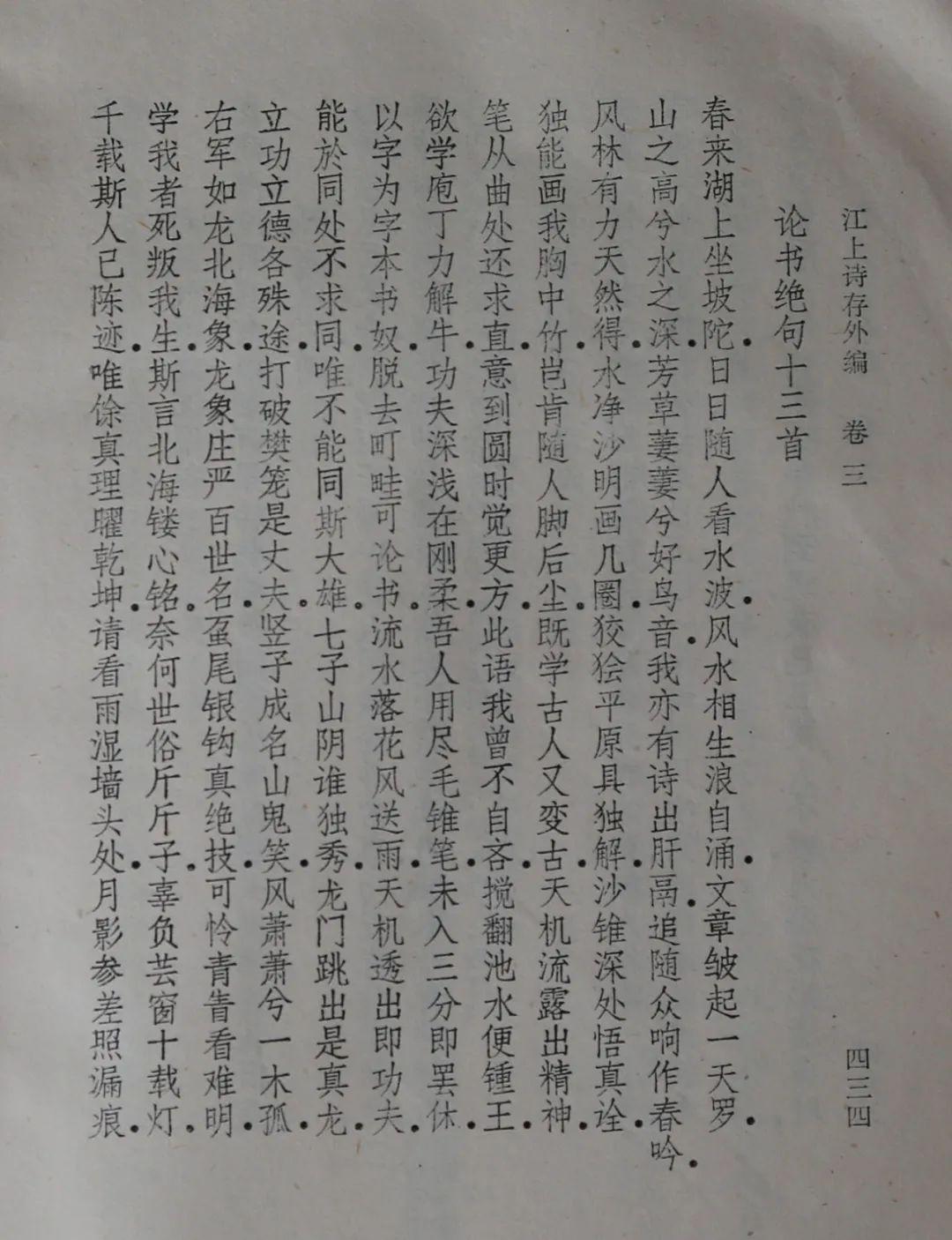
林散之草书《自作诗<论书一首>》,立轴,尺寸为 106厘米×35厘米,约3平方尺。落是“老曼同志为余治石,写论书一首留念,聋叟”。引首章是“大年”(朱文),名章为“林散之印”(白文)。长锋羊毫笔,宿墨,生宣纸。裱工精细,九五品相。作品正文内容是:
能于同处不求同,
唯不能同斯大雄。
七子山阴谁独秀,
龙门跳出是真龙。
这首诗是林散之《论书绝句十三首》中的第八首,著录于南京教师进修学院编的《江上诗存》第434页。诗的大意是,学习书法要先求相同,如临摹古人碑帖,求得形同神似,在掌握笔法、墨法、章法的基础上再寻求不同,这个不同就是跳出古法的束缚形成自己的风格,如同黄河的鲤鱼跳过龙门才会变成真龙,才能成为真正的大书法家。


书中的“老曼同志”,指沙曼翁。沙曼翁(1916-2011),满族人,书法家、篆刻家。沙曼翁一生好酒,而且酒量过人。曾与人打赌,一下子喝了一坛黄酒,足足有十斤,目击者吓得目瞪口呆。沙曼翁院子的两边都放有酒坛子,一边是满的,一边是空的。他买酒不同常人,一次买好几坛黄酒放在院子里,喝完了就扔在空的一边。沙曼翁性烈如火,喝醉后常常针砭时弊,破口大骂,旁若无人。林散之与沙曼翁之来往甚密,常有诗墨唱和。《林散之诗集》中的《秋思》,写的就是沙曼翁:“案上诗书常乱叠,重重叠叠似瑶台。秋来何事慵如此,为有书鸿久未来。”还有第191页的《寄曼叟》:门前一道水方湾湾,水上人家独自闲。忽忆江东老曼倩,却寻残墨画秋山。1979年春,沙曼翁专程来到南京百子亭22号拜会林散之,为其刻了5方印章即“散之私印”“林散之印”“散之私信”“长寿”“散之信玺”。林散之一一细看,十分喜欢,然后赠送沙曼翁一幅山水画和这幅草书《自作诗<论书一首>》
林散之草书《自作诗<论书一首>》是精品之作。整幅作品十分流畅,如同一笔写成,细看其实并非如此,为什么会给人有这种感觉?因为林散之用了连接法。如书中的“能”与“于”二字、“同”“处”与“不”三字,还有“是”与“真”二字,一根根牵丝把相近的两个字连在一起,这是“实连”;“阴”与“谁”二字、“秀”与“龙”二字,字的首尾墨色一样,这是“色连”;“不”与“求”二字、“真”与“龙”二字,线条没有牵丝连接,但笔意相同,这叫“意连”。牵丝相连,墨色相连,笔意相连,笔断意连,明断暗连,前连后断,前断后连,似连非连,似乎一笔而成。此外,流畅的线条,把林散之对沙曼翁治石的感谢之情也表现了出来。
沙曼翁帮林散之刻过印,林散之帮沙曼翁解决过实际问题。20世纪70年代后期,沙曼翁的家里十分困难。林散之就请扬州的朱小平帮沙曼翁推销一些字画,以解决燃眉之急。60年代中期就任扬州专员公署副秘书长兼交际处处长的朱小平,关系多,人脉广。对林散之交办的事情,不敢怠慢,专门请沙曼翁到扬州西园宾馆现场写字作画,又请友谊商店的领导批量收购,一下子推销了几十幅字画。
林散之草书《自作诗<论书一首>》,2019年5月著录在《金声玉振--金陵四家书法精品集》第47页(安徽美术出版社),2023年12月6日发表在《中国书画报》第10版。





林散之草书《自作诗<论书一首>》,是沙曼翁的旧藏。
相关链接 王罡简介

王罡,林散之研究专家、“金陵散王”。江苏扬州人,1957年出生,毕业于国防大学政治学院哲学系,哲学学士。曾任南京军区政治部东海民兵杂志社总编辑,大校军衔。现为江苏省收藏家协会副会长、南京汉风书画院名誉院长、林散之研究院院长。
王罡说:“我一生就干两件事:一件是当兵扛枪,一件是收藏研究林散之的草书。我一生就穿两套衣服:一套是军装,一套是西装。”“我做人的宗旨是:知敬畏,懂感恩,有担当。”
王罡是一名职业军人。三次荣立三等功,被授予“国防服役”金质纪念章,被评为第四届“全国百佳出版工作者”并授予称号,受到两代国家领导人的接见。南京艺术学院美术学院副院长、著名雕塑家尹悟铭为王罡雕塑半身铜像,中国台湾著名画家张家玮为王罡画漫像,日本华人著名画家王子江为王罡画肖像。
王罡收藏林散之的草书、绘画、诗稿、笔谈、视频等近千件,其中的轮椅是林散之晚年最重要的随身物件,草书《毛泽东词<清平乐·六盘山>》被堪称“林散之草书笔法之经典”,手卷《中日友谊诗》被称为“林散之第一草书”“神卷”“林散之王”,堪称国宝。王罡发表研究林散之的文章400多篇,专著《林散之草书精品赏析》,面向一百多个国家和地区发行的《华人时刊》杂志连载,历时4年。专著《林散之草书过眼录》(10卷),《中国书画报》从2021年1月6日起连载。王罡出席世界华人收藏家大会,参加中央电视台大型人物传记纪录片《百年巨匠——林散之》的拍摄,在中国第一高楼、世界二高楼上海中心大厦签署中国收藏《上海宣言》,在第十七届全国收藏文化(深圳)高层论坛作林散之主题演讲,王罡的名字收入《世界名人录》。








