林散之草书《自作诗<庭柯>》过眼录
 
 
林散之
林散之(1898-1989),名霖,又名以霖,字散之,号三痴、散耳、江上老人。“诗书画三绝”,尤其草书,被称为“草圣”。   林散之祖籍安徽省和州,今安徽省和县。生于江苏省江宁府江浦县,今江苏省南京市浦口区。曾任江浦县副县长、南京市政协副主席、全国政协委员,江苏省国画院书法家、南京书画院院长、中国书法家协会江苏分会名誉主席等。   林散之8岁学艺,未有师承。16岁跟范培开学书,18岁从张栗庵,32岁师黄宾虹,37岁只身万里行。书法先楷后行,由唐入魏,由魏入汉,转而入唐,宋元明清,皆所摹习。历经“三变”之后,60岁开始专攻草书,草书以王羲之为宗,以怀素为体,以王铎为友,以董其昌、祝允明为宾。林散之用长锋羊毫笔、宿墨、生宣纸,并将绘画中的墨法运用于书法,创立“林体”。  “林体”草书的特点是“瘦劲飘逸”,基本特征是“瘦劲圆涩,枯湿浓淡,偏正相依,飘逸天成”。1972年,中日书法交流选拔,林散之一举成名。“林体”草书反映了近300年来中国草书艺术的最高成就,捍卫了中国书法在国际上的中心地位。书法大家高二适见到林散之的字,拍案惊呼:“这才叫字!”中国书协主席启功看到林散之的草书,脱帽三鞠躬。书法巨匠赵朴初说:“林老书法,举世无双。”日本现代碑学派巨擘青山杉雨称赞:“草圣遗法在此翁。”林散之草书代表作有《中日友谊诗》《许瑶诗<题怀素上人草书>》《自作诗<论书一首>》《李白草书歌行》等。《中日友谊诗》被誉为“林散之第一草”。
 
 
林散之草书《自作诗<庭柯>》
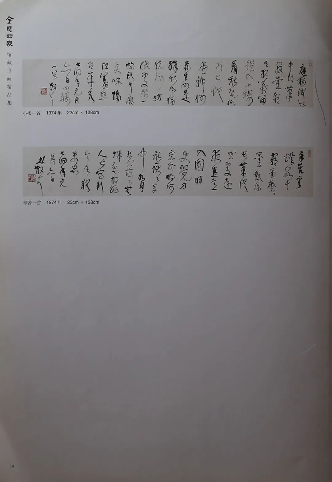
林散之草书《自作诗<庭柯>,手卷,尺寸为 22厘米×128厘米,按行规计算大约4平方尺。落款是“七四年元月六日,小楼一首,散耳”。引首章是“长寿”(朱文),名章为“林散之印”(白文)。长锋羊毫笔,宿墨,生宣纸。裱工精细,有斑点,八五品相。作品正文内容是:
庭柯浑似中郎笔,
最爱霜天红叶留。
钻入小楼看秋色,
掀开大地画神州。
我生如是殊能得,
传统何妨此处求。
一幅头巾腐臭味,
隔江羞煞召平侯。
林散之这首诗作于1973年,后经修改,诗名由“小楼”更改为“庭柯”
。其中诗句亦有调整:第三句“钻入小楼看秋色”改为“独上小楼看秋色”,第五句“我生如是殊能得”变为“我生如是殊能适”,第八句“隔江羞煞召平侯”改作“隔江笑煞召平侯”。1979年8月,此诗收录由南京教师进修学院编的《江上诗存》第388页。这首诗的大意是,庭院中的树木高大挺直,宛如汉代中郎将蔡邕手中的笔杆。最惹人喜爱的是霜降之后树叶染红的景致,独自登上小楼,透过窗棂眺望,更觉秋色别具韵味。诗人以大地为宣纸,尽情描绘祖国的山川胜景。他感慨道,若天生便具备这般才能,又何必在此处追寻呢?那些头戴酸腐头巾的文人,一心追逐功名仕途,反倒被江对岸安贫乐道的召平侯嘲笑。
1974年1月3日,林散之在寓所百子亭22号创作了巨幅草书手卷《李白<草书歌行>》,尺寸为27厘米×400厘米。他对《草书歌行》是不是李白所作提出了质疑,在诗的后面写道:“李白草书歌行,有人疑为伪作,以其语气不类太白,自宋以来都有此论。余以其言词甚豪,故录之。”3天后的1月6日,写下了这幅草书《自作诗<庭柯>》。
林散之草书《自作诗<庭柯>》,是精品之作。书法是空间艺术,白纸黑字,是视觉的、静态的。然而林散之的草书《自作诗<庭柯>》由于使转用笔,线条不停地流动,视觉在线条的引导下产生了动感,呈现出一种物象美、动态美。如“郎”字中的最后一点,“神”字和“头”字中的第一个点都连着细细的牵丝,这种迅疾有力的动势犹如怪石直奔秋天的山涧。“庭”“笔”“州”“侯”字中的线条有的饱满、有的刚劲、有的浑厚,特别是“州”字既细又圆还比较弯,最后一画蚀了尘色有些斑驳,又像生长多年的古藤冬天倒挂在古松下面。这正如唐代诗人韩偓在《草书屏风》中所描写的那样:“怪石奔秋涧,寒藤挂古松。”
 
 
 
 
 
 
 
 
林散之草书《自作诗<庭柯>》,是林散之的自藏之作。1988年1月1日,林散之将这幅作品捐赠给了林散之书画陈列馆。林散之去世后,林散之书画陈列馆改为林散之纪念馆。2009年11月2 日,我在林散之纪念馆拜观林散之草书《自作诗<庭柯>》,林散之的学生庄希祖给我讲述了他亲眼目睹林散之创作这幅作品的经过,在场听讲的还有《东方艺林》杂志主编周益群。
林散之草书《自作诗<庭柯>》,2005年5月著录在《金陵四家馆藏书画精品集》第14页(安徽美术出版社),2025年9月24日发表在《中国书画报》第9版。
林散之草书《自作诗<庭柯>》,现由林散之纪念馆永久收藏。
相关链接: 林散之研究专家、“金陵散王” 王罡
 
 
王罡,林散之研究专家、“金陵散王”。江苏扬州人,1957年出生,毕业于国防大学政治学院哲学系,哲学学士。曾任南京军区政治部东海民兵杂志社总编辑,大校军衔。现为江苏省收藏家协会副会长、南京汉风书画院名誉院长、林散之研究院院长。 王罡说:“我一生就干两件事:一件是当兵扛枪,一件是收藏研究林散之的草书。我一生就穿两套衣服:一套是军装,一套是西装。”“我做人的宗旨是:知敬畏,懂感恩,有担当。” 王罡是一名职业军人。三次荣立三等功,被授予“国防服役”金质纪念章,被评为第四届“全国百佳出版工作者”并授予称号,受到两代国家主席的接见。南京艺术学院美术学院副院长、著名雕塑家尹悟铭为王罡雕塑半身铜像,中国台湾著名画家张家玮为王罡画漫像,日本华人著名画家王子江为王罡画肖像。 王罡收藏林散之的草书、绘画、诗稿、笔谈、视频、图片、书刊等近千件,其中的轮椅是林散之晚年重要的随身物件,草书《毛泽东词<清平乐·六盘山>》被堪称“林散之草书笔法之经典”,手卷《中日友谊诗》被称为“林散之第一草书”。 王罡发表研究林散之的论文、专访、解析、轶事等文章500多篇。专著《林散之草书精品赏析》,面向一百多个国家和地区发行的《华人时刊》杂志连载,历时4年。专著《林散之草书过眼录》(10卷),《中国书画报》从2021年1月6日起连载,将到2029年2月结束,历时8年。王罡出席第四届、第五届世界华人收藏家大会,参加中央电视台大型人物传记纪录片《百年巨匠——林散之》的拍摄,在中国第一高楼、世界二高楼上海中心大厦签署中国收藏《上海宣言》,在第十七届全国收藏文化(深圳)高层论坛作林散之主题演讲,王罡的名字收入《世界名人录》。

 
    
 
                
            

 
                


 
             
        
